如若转载,请注明出处:http://www.xiaozhushengqian.com/product/680.html
更新时间:2026-04-28 03:39:01
WSZ-30购物系统 现代化零售解决方案的核心
借力海蜘蛛软路由 企业用网实现战略升级购物系统
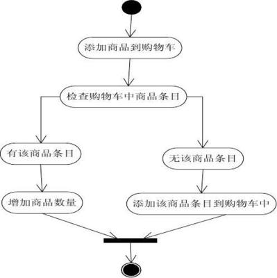
网上购物系统用例图设计
基于Python与Vue的网上二手书购物商城及旧书回收系统
基于SSM框架与协同过滤算法的智能网上书店推荐系统
流量变现的奥秘 阿里、腾讯等互联网巨头如何通过网上购物系统将流量转化为收益
网购新风尚 扁平化插画如何重塑移动购物体验
快消品零售商的实证案例研究 购物系统的视角
溯源系统在食品质量保障与购物系统中的关键作用
基于Python的租房数据分析与展示系统设计与实现